
Проверьте за секунды, нужно ли вам международное водительское удостоверение для поездки




Проверьте за секунды, нужно ли вам международное водительское удостоверение для поездки

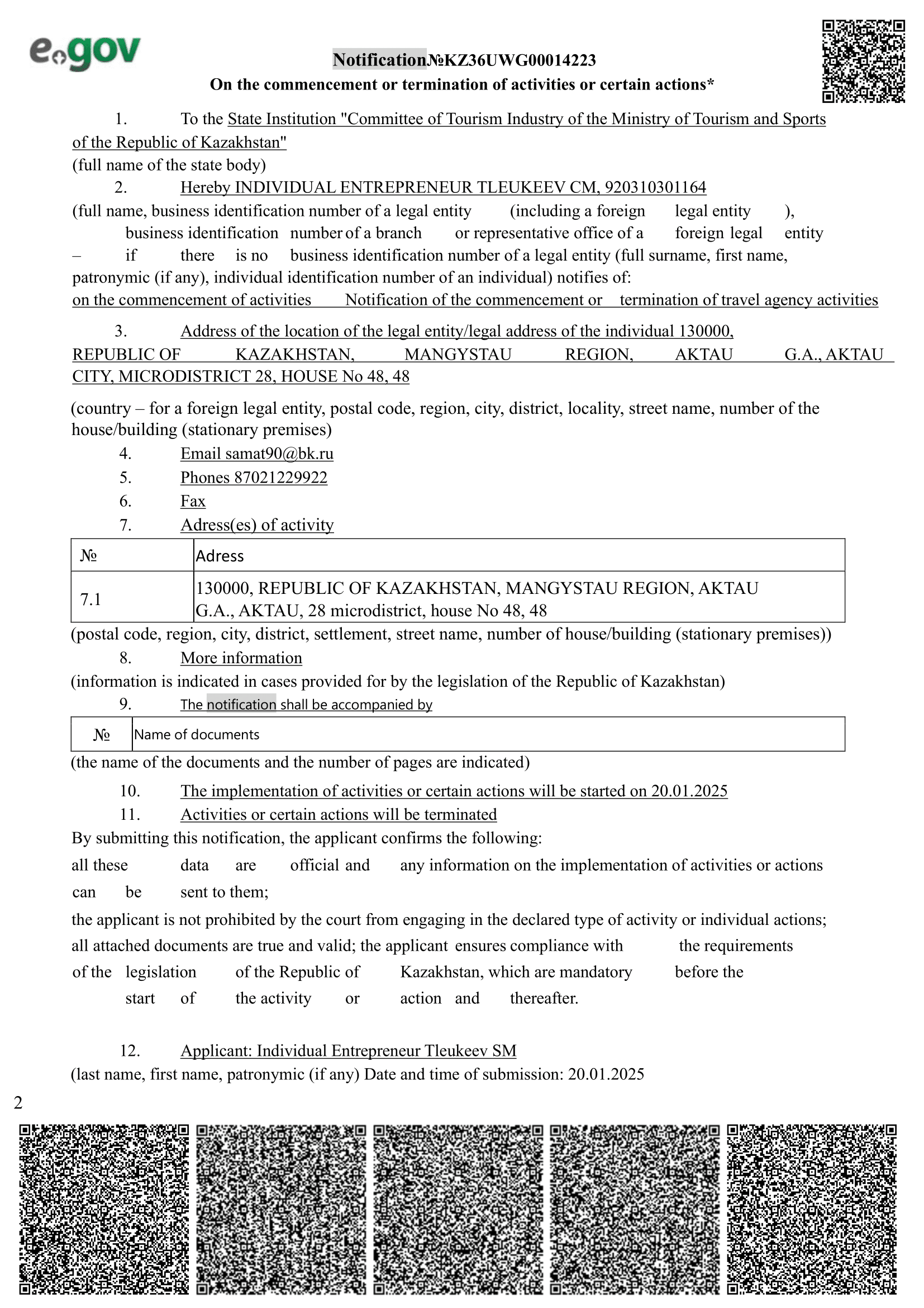
Мы являемся частью международной компании International Drivers Hub — одна из крупнейших организаций, регламентируюший выпуск международных водительских удостоверений (IDP), с центральными офисами в Вене и Женеве.
Наша деятельность основана на международных стандартах, и мы работаем в полном соответствии с ISO 9001, гарантируя надежность и качество услуг.


Оформите документы за считанные минуты без лишних визитов и бумажной волокиты.
Современный, стильный и удобочитаемый формат, соответствующий международным стандартам.
Получите документ в любую точку мира с удобными вариантами доставки.
Гарантированная точность перевода для беспрепятственного использования в разных странах.
160+стран
Сбор документов
Заполнение анкеты


Обработка данных
Получение МВУ

...
...

...
...

...
...

Комплексный пакет: печатная книжка, цифровая версия, компактная ID-карта для всех ваших поездок, а также заверенный нотариальный перевод документов для удобства использования за границей.
...







Оформление прошло быстро и без лишних сложностей. Документы получил в тот же день. Спасибо!

Отличный сервис! Все четко объяснили, помогли с оформлением. Доставка тоже порадовала!

Очень удобный сайт, заявка заняла всего несколько минут. Теперь спокойно путешествую!

Сначала сомневалась, но процесс оказался простым и понятным. Отличное качество документов!
Это документ, который подтверждает право на вождение за границей и дополняет национальное водительское удостоверение.
Разницы нет, просто «международные водительские права» — это неофициальный термин, а официальное название — международное водительское удостоверение (МВУ).
Зависит от страны, куда вы едете. В некоторых странах оно обязательно, в других — нет. Рекомендуется уточнять перед поездкой.
Для этого вы можете перейти на страницу "Получить МВУ", заполнить все необходимые данные и мы уже сами всё за вас сделаем!
МВУ могут получить водители, имеющие действующее национальное водительское удостоверение.
аше международное водительское удостоверение оформляется в течение одного часа после подачи заявки и оплаты. Вы получите электронную версию сразу, а физическую копию можно забрать самовывозом или через курьерскую доставку.
МВУ признается в более чем 150 странах, включая США (нужно уточнять штат), Канаду, страны Европы, ОАЭ, Турцию. Уточняйте перед поездкой.
Alexey Kuliyev
Обратился за международными правами в данную компанию, очень все оперативно, спасибо за оказаную вами услугу👍👍👍
Отзыв из 2ГИС
Амина
Все отлично и очень быстро , рекомендую 💪🏼💪🏼💪🏼💪🏼
Отзыв из 2ГИС
Абылай Мустафин
Сделали права, катаюсь радуюсь в Тайланде, до этого был в Дубае, везде легко арендовал автомобиль и мопед, спасибо за оперативность ❤️🔥
Отзыв из 2ГИС
Asya Limova
Впервые оформляла международные права. Долго не могла решиться, рада, что доверилась вам. Все прошло гладко, все документы получила вовремя. Без задержек и нервотрепки. Спасибо!
Отзыв из 2ГИС
Kuantkan Koisariyev
international drivers hub – настоящие профессионалы. Документы пришли вовремя, а качество сервиса приятно удивило. Теперь путешествую с комфортом.
Отзыв из 2ГИС
Азамат Азамат
Оформлял международное водительское удостоверение перед поездкой в Турцию. Все прошло идеально! Документ пришел быстро, а поддержка компании всегда была на связи. Буду рекомендовать вас всем знакомым.
Отзыв из 2ГИС
Anuar Bekzhan
Класс мне все понравилось все быстро и четко
Отзыв из 2ГИС
Жұмахмед Ислам
Недавно обращался к ним, цена на услугу оказалась вполне адекватной, сделали все в срок👍🔥
Отзыв из 2ГИС
Aidar Ikhsan
Оформил права за короткий срок. Обслуживание отличное. Рахмет!
Отзыв из 2ГИС
Nurmukhanbet Akyn
Жігіттерге рахмет, праваны тез істеп берді👍
Отзыв из 2ГИС
Abylaikhan Akhmetov
Сделали все четко и быстро, спасибо Вам большое!
Отзыв из 2ГИС
A X
Помогли с оформлением международных прав для Европы. Все быстро и в срок, помогли еще документы исправить
Отзыв из 2ГИС
Ертолеп Ертолеп
По работе нужно было оформить сразу пять международных прав для наших водителей. Самату отдельный рахмет что быстро организовали. Буду всем транспортникам рекомендовать.
Отзыв из 2ГИС
г.Астана, ул.Сыгынак, 47
г.Алматы, ул.Ауэзова, 163а